|
A
termőföld az a földrészlet, amelyet a település külterületén az
ingatlan-nyilvántartásban
szántó, szőlő, gyümölcsös, kert, rét, legelő (gyep), nádas, erdő,
fásított
terület művelési ágban vagy halastóként tartanak nyilván. Hazánk
9 millió 303 ezer hektárnyi területének 79%-a, 7 millió 370 ezer hektár
volt
termőterület 2012-ben. Aránya hosszabb időszakot tekintve kismértékben,
de
folyamatosan csökken, elsősorban a települések és az infrastruktúra
terjeszkedése következtében. A
termőterületen belül 5 millió 338 ezer hektár mezőgazdasági és 1 millió
928
ezer hektár erdőterület volt, a mezőgazdasági terület 57, az erdő
21%-ot
foglalt el az ország területéből. Előbbi arány csökkenő tendenciájú,
míg az
utóbbi mérsékelten, de folyamatosan nőtt az elmúlt években. A szántóterület 46%-os aránya (4 millió 324 ezer hektár) az európai országok közül Dánia után a második legnagyobb. A hasznosított gyepterület (2012-ben 759 ezer hektár, az ország területének 8%-a) hosszabb ideje csökken. Cégünk értékbecslést készít szántó, rét, legelő, szőlő, kert, gyümölcsös, nádas művelési ágú termőföldekre vonatkozóan is. Az
értékbecsléshez szükséges dokumentumok:
A
termőföld értékelésére az alábbi módszereket alkalmazzuk Az ingatlan piaci értékét megtörtént,
konkrét,
jól ismert ügyletek árainak figyelembevételével állapítjuk meg.
Minimálisan
három tényadatot használunk fel, ügyelve arra, hogy az összehasonlító
vizsgálat
során a földrajzi elhelyezkedés, az ingatlanok típusai, értékformái,
jogai,
közel azonos tulajdonságokkal rendelkezzenek. Ha a fent
említettekben különbözőség lép fel, akkor korrekciós tényező
alkalmazásával
számítjuk ki az ingatlan forgalmi értékét. 2.
Hozam alapú értékelés Az
ingatlan értékét három, külön-külön értékelt
tényező együttes összege határozza meg az alábbiak szerint: Fé
= Fté + Té + Éé ahol 3.
Közvetlen területi alapú támogatás figyelembevételével
számított hozam alapú
értékelés Az értékelés során a földalapú közvetlen támogatás és az ezt
kiegészítő támogatás mértékét vesszük figyelembe. 4.
Újraelőállítási költség alapú értékelés (25/1997.
(VIII.1.) PM rendelet). Termőföld értékelése piaci összehasonlító adatok elemzésével A
termőföld értékelése piaci összehasonlítással
(comparative or direct comparison method)
Ezt a módszert a TEGoVA (The European Group of
Valuers Association) az
Állóeszköz-értékelők Európai Csoportja (EVS 2003) előírásai alapján
alkalmazzuk. Piaci
összehasonlítás esetén az értékelés már megtörtént és ismert
adásvételi ügyletek árának a vizsgált esetre való kiterjesztésével,
összehasonlításával történik. A piaci érték az az ár, amelyért az ingatlan méltányosan, magánjogi szerződés keretében az értékelés időpontjában várhatóan eladható, feltételezve az alábbiakat:
Az
értékelés lépései a következők:
Az
alábbi tényezők vizsgálata mindig célszerű:
a fajlagos alapérték módosítása, fajlagos érték számítása. Az értékmódosító tényezők közül az értéket jelentősen befolyásolókat számszerűsítjük (százalékosan, vagy nominálisan forintban) és ennek alapján térítjük el az alapértéket. Az így kapott érték lesz az ingatlan fajlagos értéke. a végleges (piaci) érték számítása. Az ingatlanpiaci értéket a fajlagos érték és az ingatlan méretének szorzatával kapjuk. Földértékelés
hozamszámítással A
termőföld értékelését a földnyilvántartásban szereplő aranykorona érték
figyelembevételével kell elvégezni. Kivételt képez ez alól a szőlő- és
gyümölcsültetvény, valamint a halastó által foglalt termőföld. A szőlő-
és
gyümölcsültetvényekkel borított termőföld értékelése az ültetvény
telepítését
megelőző művelési ág besoroláshoz tartozó aranykorona érték alapján
történik.
Ha az ültetvény korábban is ültetvény volt, a környék hasonló adottságú
szántó
területeinek jellemző aranykorona értékét kell alapul venni. Halastó
esetében a
tó által foglalt terület értékét a halastó közvetlen környezetében lévő
termőföldek jellemző aranykorona értéke alapján kell megállapítani. A termőföld forgalmi értékének meghatározására az alábbi képlet szolgál:
ahol A
tőkésítési kamatláb mértékét a
jelzálog-hitelintézet határozza meg, és azt az üzleti helyiségében
történő
kifüggesztéssel hozza ügyfelei tudomására. Meghatározásakor figyelembe
kell
venni a mezőgazdaság értékelést megelőző naptári évben számított
átlagos
jövedelmezőségét, valamint az egyes ágazatok jellemző tőkeigényét. A termőföld forgalmi értékének (Fté) a fentiek szerint számított értékét az alábbi ismérvek alapján korrigálni kell (az egyes ismérvek forgalmi értékre gyakorolt egyedi hatását százaléklábbal kell jellemezni, melyek előjelhelyesen összevont értéke megegyezik a „k” korrekciós tényezővel): -
alak, forma, területi méret, 2.
A földterületen lévő telepítmények forgalmi
értékét az alábbi képlet alapján kell meghatározni: a) Szőlő és
gyümölcsös esetében:
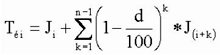
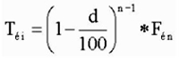
ha i = 0, akkor Téi = 0* Téi: a telepítmény
értéke az i-edik évben (Ft) b) Erdők
esetében:
ahol Az
a) és b) pontokban meghatározott képletekben az
alkalmazott diszkont kamatláb mértékét a jelzálog-hitelintézet
határozza meg,
és azt az üzleti helyiségében történő kifüggesztéssel hozza ügyfelei
tudomására. Meghatározásakor az állampapírok átlagos hozamát kell
alapul venni. 3.
A termőföldön található, az üzemszerű művelést
szolgáló azon épületek, építmények, pincék, amelyek rendeltetési
céljuktól
eltérően nem, vagy csak kényszer jelleggel használhatók, a forgalmi
érték
megállapítása során önálló értékkel nem vehetők figyelembe. Ezen
létesítményeknek a forgalmi értékre gyakorolt hatását az 1. pont
szerinti
korrekció során kell értékelni. A fenti csoportba nem sorolható, önálló ingatlannak nem minősülő, de jelentős értékű épített ingatlanok (pl. kúria, vadászház, tanya, fogadó stb.) forgalmi értékét az 25/1997. (VIII. 1.) PM rendeletben foglaltak szerint kell meghatározni. |